TB6鈦合金是一種高強、高韌,并具有優良熱加工性的近β型鈦合金,因其優良的綜合性能而受到各國學者的關注。TB6 鈦合金的比強度高,能有效減輕結構件重量,在飛機機身、機翼和起落架結構中使用該合金代替同等強度的 30CrM nSiA 結構鋼,可減輕重量約40% ,用TB6鈦合金代替TC4可減輕結構重量約 20% ,因此對于飛機制造業來說,該合金具有廣泛的應用空間[1] 。

表面粗糙度和表面形貌是描述和評價構件表面質量的重要特征。其優劣對構件的耐磨性能、疲勞性能、應力腐蝕性能等具有重要的決定作用[2] 。由斷裂力學可知,表面粗糙度值愈大、表面的溝痕愈深、紋底半徑愈小、應力集中愈嚴重,抗疲勞破壞的能力就愈差。因此表面粗糙度增大,會降低零件的疲勞強度,這種現象對高強度合金材料更為突出[3] 。因此在進行高強度合金材料的加工中,必須注重對表面粗糙度和表面形貌的控制。而高速加工技術是保障構件表面粗糙度和表面形貌的重要加工技術之一。
目前國內外對鈦合金高速切削的表面完整性進行著積極研究。I.S.Jawahir等[4] 對材料去除過程中的表面完整性特征研究的最新進展進行了綜述性報道。J.Sun等[5] 針對TC4研究了端銑加工的表面粗糙度,其研究參數范圍內銑削表面呈各向異性,表面粗糙度值從 0.6μm變化到 1.0μm,表面粗糙度值隨進給和軸向切深增大而升高,而隨著切削速度的增大略微減小,但變化范圍較小。G .A .Ibrahim 等[6] 研究了銑削速度在 55~95 m /m in之間TC4在干切削條件下的表面完整性,研究表明表面粗糙度都在 1~4μm之間。Elm agrabi等[7] 研究了銑削速度為 77.5 m /min時涂層硬質合金刀具加工TC4的表面粗糙度,研究表明:進給速度越大表面粗糙度越大,當每齒進給量為 0.1mm/z時,表面粗糙度在 0.2~0.4μm之間。A.L.M antle等[8] 對高速銑削 γ -TiAl合金表面完整性進行了研究,其表面粗糙度都低于 1.5μm。C.H .Che-H arona 等[9 - 10] 對高速銑削和車削TC4從表面粗糙度、殘余應力、微觀組織和顯微硬度等幾方面進行了系統研究。Rao等[11] 基于單因素試驗方法研究高速銑削時,高主軸轉速可獲得的表面粗糙度都在 0.4μm以下。史興寬等[12] 進行了高速切削條件和常規切削條件下TC4的對比切削試驗,結果表明高速銑削在提高制造效率和改善表面質量上都是有益的。杜隨更、楊振朝等 [13- 14] 研究發現,在平底刀銑削TC4時 , 當主軸轉速由 3000r/m in增大到 10000r/min時 , 表面質量越來越好。
盡管在鈦合金高速銑削方面國內外學者已做了大量研究,但現有研究往往局限于工藝參數對表面粗糙度的研究,關于三維表面形貌的研究還很少。本文以航空結構件常用的TB6鈦合金為對象,通過高速端面銑削正交試驗,研究高速銑削參數對表面粗糙度和三維表面形貌的影響,為TB6航空結構件高速銑削提供參數選擇的依據和方法。
1、TB6 鈦合金高速銑削試驗
1.1 試驗材料
試驗材料為TB6合金,屬于高強高韌β型鈦合金,主要化學成分如表 1 所示。其室溫和高溫力學性能如表 2 所示。

1.2 試驗方案
TB6鈦 合 金 高 速 銑 削 試 樣 尺 寸 設 計 為55mm×50mm×25mm。所有銑削試驗都在 V M C-850三坐標立式數控銑床上進行,機床功率為 22kW ,主軸轉速范圍為 0~8000r/m in。根據機床和試件材料,選擇四齒硬質合金立銑刀,無涂層,刀具直徑為 10mm,前角6°,后角 12°,螺旋角 30°。銑削方式為端銑,順銑;冷卻方式為乳化液。銑削過程如圖 1 所示。

為研究TB6鈦合金端銑加工參數對表面粗糙度及三維表面形貌的影響,采用三因素三水平正交試驗。根據生產經驗及試驗條件,選定影響表面粗糙度的主要3 個銑削因素為銑削速度 v c 、每齒進給量 f z 和銑削寬度a e 。其中銑削深度 a p 均固定為 0.2mm。正交試驗方案及結果如表 3 所示。

1.3 表面粗糙度與表面形貌測試
加工后的表面粗糙度和表面形貌用三維光學表面形貌測試儀 V eeco測量。在銑削面沿進給方向,等距選取 5 個點,如圖 1 中的 1 點、2 點到第 5 點,測量每點表面粗糙度 R a 值并求取平均值,最后 R a 的測試結果見表3。測量時放大倍數為 10 倍,測量分辨率為 736×480,測量點取樣大小為 830.22nm ×830.22nm 。

2、試驗結果與討論
2.1 表面粗糙度分析
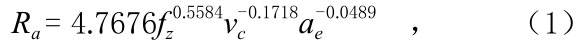
對表 3 所示的正交試驗中測得的表面粗糙度數據,應用多元線性回歸分析方法建立TB6高速端面銑削時的表面粗糙度的經驗公式:

由該公式可看出,每齒進給量對 R a 的影響最為顯著,而銑削速度次之,銑削寬度最小。
采用直觀分析法建立工藝參數對表面粗糙度的影響曲線如圖 2 所示。圖 2(a)為高速銑削速度對表面粗糙度的影響規律曲線。當切削速度在 60~140m /min范圍變化時,平均表面粗糙度 R a 可控制在 0.6μm以下,而且隨著銑削速度的增加,表面粗糙度有減小的趨勢,其粗糙度值從 0.55μm變化到 0.48μm以內。其原因是銑削速度對積屑瘤和鱗刺的影響非常顯著,銑削速度較低時,由于銑削力大和銑削溫度高,很容易產生鱗刺和形成積屑瘤,粗糙度也大;隨著銑削速度的升高,銑削溫度會隨之升高而導致材料軟化易切削,雖然銑削力也會有所降低,但是銑削過程非常鋒利,鱗刺和積屑瘤都不易產生,表面粗糙度會減小。

圖 2(b)為每齒進給量對表面粗糙度的影響規律。
從幾何因素中可知,減小進給量可降低殘留面積的高度,同時也可以降低積屑瘤和鱗刺的高度,因而減小進給量可以使表面粗糙度值減小。但進給量減小到一定值時,如果再減小,塑性變形漸漸占主導地位,粗糙度值不會明顯下降。所以,在高速銑削加工中盡可能采用較小的每齒進給量。由圖 2(b)可知,當每齒進給量從0.04mm/z 變化到 0.12mm/z 時,表面粗糙度越來越大,從0.4μm變化到 0.64μm,其變化開始較平緩,在每齒進給量為 0.08mm/z之后變化有所加劇。
圖 2(c)為銑削寬度對表面粗糙度的影響規律。
可以看出,端銑加工時隨著銑削寬度的增大,表面粗糙度呈先減小后增大的趨勢,這主要是由于在銑削寬度增大到一定值時,隨著銑削寬度的繼續增大會使銑削力和銑削溫度增大,容易產生鱗刺和形成積屑瘤,對表面粗糙度會帶來不利的影響。在試驗研究的高速切削參數范圍內,當銑削寬度從 3mm變化到 5mm時,表面粗糙度從 0.597μm下降到 0.321μm;當銑削寬度從 5m m變化到 7mm時,表面粗糙度從 0.321μm急劇增大到0.624μm。
2.2 高速銑削三維表面形貌分析
圖 3(a)~ 圖 3(i)為正交銑削試驗中 1#~9# 件的表面形貌測試結果。發現所有銑削表面都存在沿銑削方向的加工紋理,呈現一高一低的階梯狀。銑削后工件表面產生波紋狀的表面紋理,它是銑刀與工件相對移動后最終形成的表面形貌,清晰地反映出了銑刀切削刃的運動軌跡。

圖 3(a)~ 圖 3(i)中,均有沿刀具進給方向均勻間隔突起的棱脊,每條均勻間隔突起的棱脊沿刀具進給運動方向位移量等于銑削參數中的每齒進給量。在均勻間隔突起的棱脊之間分布有沿切削運動方向的細小溝槽。這種溝槽一方面是刀具表面上硬質點對工件加工表面的犁耕,另一方面是刀具磨損表面上粗糙溝槽在工件加工表面上的復制。在圖 3(i)中,可以看到明顯的交叉紋理,分析其原因是采用了較大的每齒進給量0.12mm/z,和較大的切削速度 140m /m in。在圖 3(b)中,可看出加工紋理比較均勻,切削表面微觀形態沒有明顯劃傷,粗糙度值也為本次試驗最小,約為 0.132μm,其原因是采用了較大的切削速度 100m /min和小的每齒進給量 0.04mm/z。
試驗還發現銑削速度和每齒進給量的配比組合會影響表面形貌,而銑削寬度對表面形貌影響難以獲得有效規律。其中,圖 3(a)、圖 3(b)、圖 3(c)中的表面形貌均為均勻流線狀,粗糙度均在 0.6μm以內,由其對應的參數可知:無論銑削速度、銑削寬度在試驗范圍的取值如何,只要每齒進給量為 0.04mm/z,表面形貌呈均勻流線狀,表面粗糙度可保持在 0.132~0.538μm之間。
而當每齒進給量為 0.08mm/z時,隨著銑削速度的增加,表面的交叉織網狀形貌由稀疏(圖 3(d)、圖 3(e))向緊密(圖 3(f))變化。當每齒進給量為 0.12mm/z時,隨著銑削速度的增加,表面由無交叉均勻流線狀形貌(圖3(g))向交叉織網狀(圖 3(h)、圖 3(i))變化,均勻間隔突起的棱脊的間距越來越大,其由密集向稀疏變化,這是由于銑削時銑刀前一齒與后一齒之間會有殘留高度,而當 f z 保持一致,銑削速度高時,進給速度也很快,使得這些突起的棱脊在進給方向的位移量增大。這種現象 f z 越大越明顯,如圖 3(g)、圖 3(h)、圖 3(i)所示,f z 越小越不明顯,如圖 3(a)、圖 3(b)、圖 3(c)所示。
由于每條均勻間隔突起的棱脊沿刀具進給運動方向位移量等于銑削參數中的每齒進給量,所以無論銑削速度和銑削寬度取何值,隨著每齒進給量的增加,均勻間隔突起的棱脊的間距都將越來越大,如圖 3(b)、圖 3(f)、圖 3(i)所示。
3、結論
通過TB6鈦合金銑削參數對表面粗糙度影響的研究,可以得出以下結論:
(1)TB6 高速端銑加工時,在研究的參數變化范圍內,表面粗糙度對每齒進給量變化最為敏感 , 對銑削速度的變化敏感次之,對銑削寬度變化最不敏感。
(2)銑削速度優選范圍為 100~140m /m in,每齒進給量優選范圍為 0.04~0.08mm/z,可保障表面粗糙度在0.7μm以內。
(3)銑削速度和每齒進給量配比組合影響表面形貌的形成,只要每齒進給量為 0.04mm/z,表面粗糙度可保持在 0.132~0.538μm之間,其三維表面形貌均呈無交叉均勻流線狀。
參 考 文 獻
[1] 王美嬌,孟祥軍,廖志謙,等 .Ti-1023 合金的研究現狀 .材料開發與應用,2009,24(5): 66 - 69.
[2] 高玉魁,殷源發,李向斌 .表面完整性對馬氏體不銹鋼疲勞性能的影響 .金屬熱處理 , 2002,27(8):30 - 32.
[3] 張東初,裴旭明 . 加工工藝對表面粗糙度及疲勞壽命的影響 .中國機械工程,2003,14(16):1374 - 1377.
[4] Jawahir I S, Brinksm eier E, M ' Saoubi R , et al. Surface integrity in m aterial rem oval processes: recent advances. CIRP Annals-M anufacturing Technology, 2011, 60: 603 - 626.
[5] Sun J, Guo Y B. A com prehensive experim ental study on surface integrity by end m illing Ti-6A l-4V . Journal of M aterials Processing Technology, 2009, 209: 4036 - 4042.
[6] AIbrahim G A, H aron C H C, Ghani J A, et al. The effect of dry machining on surface integrity of titanium alloy Ti-6Al-4V ELI. Journal of Applied Sciences, 2009, 9(1):121 - 127.
[7] Elm agrabi N, H assan C C, Jaharah A, et al. H igh speed m illing of Ti-6Al-4V using coated carbide tools. European Journal of Scientific Research. 2008, 22(2): 153 - 162.
[8] M antle A L, Aspinwall D K. Surface integrity of a high-speed m illed gamma titanium alum inide. Journal of M aterials Processing Technology, 2004, 118(1-3): 143 - 150.
[9] Che-H aron C H , Jawaid A . The effect of machining on surface integrity of titanium alloy Ti-6Al-4V. Journal of M aterials Processing Technology, 2005,166:188 - 192.
[10] Che-H aron C H . Tool life and surface integrity in turning titanium alloy. Journal of M aterials Processing Technology. 2001, 118: 231 - 237.
[11] Rao B. M odeling and analysis of high speed m achining of aerospace alloys [D ]. Indiana: Purdue University, 2004.
[12] 史興寬,楊巧鳳,蔡偉,等 . 鈦合金TC4高速銑削表面完整性研究 . 航空制造技術, 2001(1):30 -31,36 .
[13] 杜隨更,呂超,任軍學 ,等 . 鈦合金高速銑削表面形貌及表層組織研究 .航空學報,2008,29(16):1710 - 1715.
[14] 楊振朝,張定華,姚倡鋒,等 .TC11 鈦合金插銑加工銑削力影響參數的靈敏度分析 . 航空學報,2009,3(9):1776 - 1781.
無相關信息
