TA15(Ti-6Al-2Zr-1Mo-1V)鈦合金是一種與俄羅斯研制的 BT20 鈦合金相似的近 α 鈦合金,具有較高的比強度、抗蠕變性、耐蝕性以及良好的焊接性能,常用于制造工作環境在 500 ℃以上的航空發動機的壓氣機盤、葉片等重要部件 [1] 。
本文作者借助國外引進的高合金鋼連續軋制生產線,初步開發直徑為 20 mm 的 TA15 鈦合金小規格棒材的熱連軋工藝。該連軋生產方式的主要特點是:生產效率高、棒材的直度好、尺寸精度和表面質量較傳統的橫列式軋制工藝有優勢。本研究通過控制軋制溫度和軋制變形量,研究 TA15 鈦合金 d20 mm 熱連軋棒材的性能和組織。
1、實驗
1.1 TA15 鈦合金的 Gleeble 熱模擬試驗試驗用 d25 mm 小圓棒,于 800 ℃退火處理 1.5 h,再機械加工成 d8 mm×12 mm 的壓縮試樣,上、下兩端加工成 d7 mm×0.2 mm 的淺槽,以添加 BN 潤滑劑減少摩擦,保證壓縮變形的均勻性和穩定性,防止嚴重鼓形出現。壓縮試驗在 Gleeble3800 熱/力模擬試驗機上進行,加熱速度為 5 ℃/s,至壓縮溫度后保溫 3min,然后進行等溫壓縮。變形溫度分別為 800、850、900、950、1 000 和 1 050 ℃,應變速率分別為 0.01、0.1、1 和 10s?1 ,變形過程全部由計算機控制并自動 采集有關數據,最后得到 TA15 鈦合金高溫壓縮變形隨變形溫度和應變速率變化的真應力—真應變曲線。
1.2 TA15 鈦合金 d20 mm 棒材的熱連軋工藝
結合 Gleeble 熱模擬試驗結果,設計熱連軋工藝的坯料加熱溫度、連軋入口變形溫度、連軋速率、連軋總變形量等關鍵工藝參數,具體的工藝流程是:三次真空自耗熔煉成直徑為 860 mm 的鑄錠→鍛至 80mm×80 mm×80 mm→打磨去除缺陷→高合金鋼生產線連續軋制成直徑為 20 mm 的成品→磨光→探傷→取樣、檢測性能和組織→合格入庫。
2、結果與討論
2.1 TA15 鈦合金的 Gleeble 熱模擬試驗
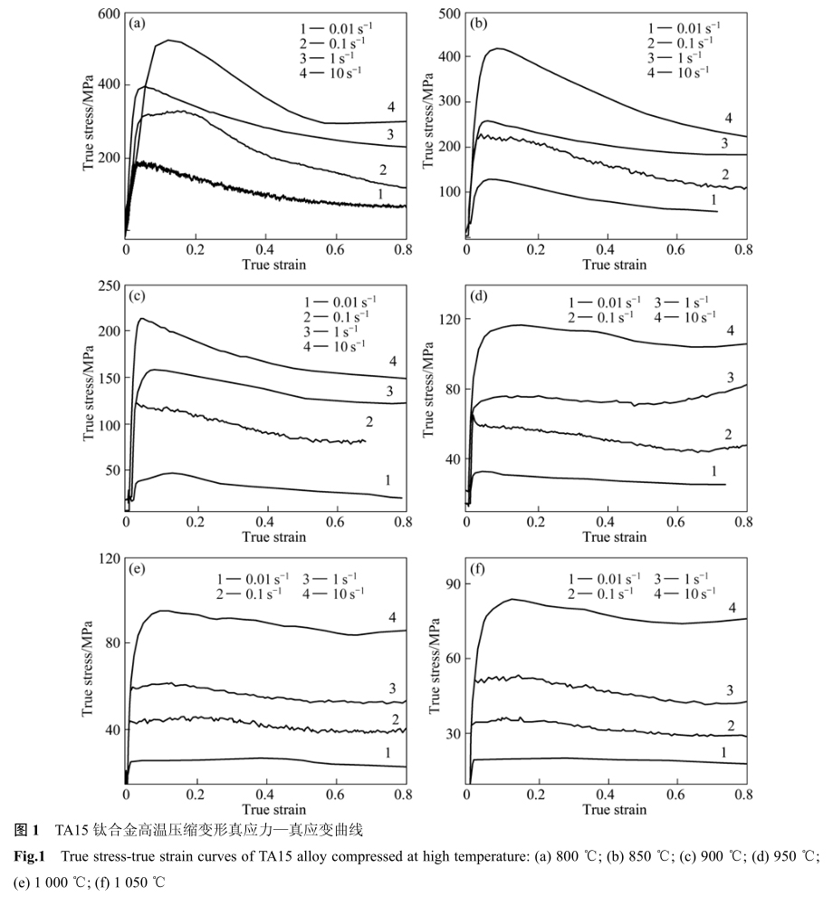
Gleeble 熱模擬試驗得到 TA15 鈦合金高溫壓縮變形隨變形溫度和應變速率變化的真應力—真應變曲線,如圖 1 所示。

由圖 1 可見,TA15 鈦合金高溫壓縮變形時,流變應力的變化規律表現為:1)在峰值點之前,應力隨應變量的增加呈現近線性迅速增大;2)在應變速率一定時,隨著變形溫度的升高,峰值點呈下降趨勢;3)在溫度一定時,隨著變形速率的增大,峰值點呈上升趨勢。另外, 由圖 1 的曲線可知,隨著變形溫度的升高,材料的流動應力逐漸降低,并且在不同的溫度范圍內表現出不同的流動特性:800~950 ℃溫度范圍內,材料的流變應力到達峰值之后總體呈下降趨勢,說明在此溫度范圍內主要的軟化機制可能是動態再結晶;950~1 050 ℃時,材料的流動應力幾乎穩定在一個定值,表現出動態回復的特征。當 TA15 鈦合金高溫塑性變形時,在應力峰值點之前,應力隨應變量的增加呈現近線性迅速增大,且隨著變形溫度的升高或應變速率的降低,合金的峰值應力水平不斷降低。越過峰值應力點以后,動態回復或動態再結晶軟化程度超過了形變硬化,流變應力便逐漸降低或保持動態穩定。
同時,在塑性變形過程中,絕大部分能量轉化為熱能;變形溫度越低或應變速率越大,變形抗力也越大,塑性變形過程中消耗的能量就越多,轉化成熱能的也越多,并且變形溫度越低或變形速率越大,單位時間內形變熱散失越少,隨著變形溫度的降低或應變速率的增大,形變熱效應越顯著。因此,如圖 2 所示,至應力峰值點后,在同一應變速率下,隨著變形溫度的降低,流變應力隨應變量的增大而逐步 增大 [2?3] 。

2.2 熱連軋棒材的試驗結果與分析
根據熱模擬試驗結果,考慮變形溫度與變形抗力的關系,以及熱連軋溫升帶來的影響,將變形溫度設定在 850~950 ℃,選取兩批直徑為 20 mm 的 TA15 鈦合金棒材進行試驗,棒材的軋制變形量相同,均在兩相區軋制,但工藝 2 的軋入口溫度較工藝 1 的高 45℃,使表面質量得到改善,但是組織和性能變化不大。

熱連軋直徑為 20 mm 的棒材和橫列式軋制直徑為 40mm 的棒材的性能檢測結果見表 1,不同軋制工藝獲得的顯微組織如圖 3 所示。

從表 1 的性能檢測結果來看,不同軋制工藝得到的 TA15 鈦合金小規格棒材的常規力學性能都能滿足相應的技術要求。三種工藝的室溫強度、室溫塑性與500 ℃高溫性能的試驗結果相當;而兩種熱連軋工藝生產的棒材沖擊韌性高于橫列式軋制工藝生產的棒材,但室溫屈服強度低于后者。
從圖 3 的顯微組織來分析,采用兩種熱連軋工藝生產的 TA15 鈦合金棒材組織主要由初生等軸 α、片狀的次生 α 相和 β 相組成,其中 40%~50%為等軸 α 相,說明雖然坯料軋制前的加熱溫度控制在兩相區下部,但是由于是連軋一火成材,其變形速度相當快,變形量也比較大,從而引起軋制過程中棒材溫升比較嚴重,造成一部分初生 α 相熔解,在隨后的冷卻過程中變成不穩定的 β 相,通過退火分解成片狀的次生 α 相。這種組織一般稱為雙態組織,其強度、塑性和沖擊韌性匹配較好 [4] ,但是,如果初生等軸 α 相較少的話,其
疲勞強度較差。在采用傳統的橫列式軋制方式生產的TA15 鈦合金棒材組織中,等軸 α 相含量達到 90%以上,說明在兩相區下部加熱后的坯料軋制過程中,基本沒有變形溫升。該類組織的強度、塑性等均較好,但是相比雙態組織,其沖擊韌性要低一些。
3、結論
1) 采用新型的熱連軋工藝生產的 TA15 鈦合金小規格棒材,其組織和性能均滿足相應的技術要求。
2) 和傳統的橫列式軋制生產方法相比,新型熱連軋工藝生產效率高,產品的直度和表面質量得到改善,產品的力學性能基本相當。
參考資料:
[1] 李興無, 沙愛學, 張旺峰, 儲俊鵬, 馬濟民. TA15 合金及其在飛機結構中的應用前景[J]. 鈦工業進展, 2003, 20(4/5): 90?94.
LI Xing-wu, SHA Ai-xue, ZHANG Wang-feng, CHU Jun-peng,MA Ji-min. TA15 titanium alloy and its applying prospects onairframe [J]. Titanium Industry Progress, 2003, 20(4/5): 90?94.
[2] 洪 權 , 張 振 祺 , 趙 永 慶 , 曲 恒 磊 , 魏 壽 庸 .Ti-6Al-2Zr-1Mo-1V 合金的熱壓變形特性及塑性流動方程[J].廣東有色金屬學報, 2001, 11(2): 129?133.
HONG Quan, ZHANG Zhen-qi, ZHAO Yong-qing, QU Heng-lei,WEI Shou-yong. Hot compressive deformation behaviors ofTi-6Al-2Zr-1Mo-1V alloy and its plastic flow equation [J].Journal of Guangdong Non-ferrous Metals, 2001, 11(2):129?133.
[3] 徐文臣, 單德彬, 李春峰, 呂 炎 . TA15 鈦合金動態熱壓縮行為及其機理研究[J]. 航空材料學報, 2005, 25(4): 10?15, 19.
XU Wen-chen, SHAN De-bin, LI Chun-feng, Lü Yan. Study onthe dynamic hot compression behavior and deformationmechanism of TA15 titanium alloy [J]. Journal of AeronauticalMaterials, 2005, 25(4): 10?15, 19.
[4] 岳 強, 王鼎春, 王希哲, 王 練, 儲茂友, 沈劍韻. 不同軋制工藝制備的 Ti-63 合金棒材顯微組織和力學性能[J]. 稀有金屬材料與工程, 2008, 37(s3): 283?286.
YUE Qiang, WANG Bing-chun, WANG Xi-zhe, WANG Lian,CHU Mao-you, SHEN Jian-yun. Microstructure and mechanicalproperties of Ti-63 alloy bars prepared by different rollingprocesses [J]. Rare Metal Materials and Engineering, 2008,37(s3): 283?286.
相關鏈接
- 2021-10-30 利泰金屬定制航空用TA15鈦合金葉輪
- 2021-09-09 TA15鈦合金棒材的亮斑缺陷與非脆性偏析
- 2021-08-15 國內外TA15鈦合金板材微觀組織及疲勞性能研究
- 2021-07-23 航空用TA15鈦合金的優異性能及應用
- 2021-07-07 國內TA15鈦板的工藝研究
- 2021-05-05 TA15鈦合金板材的實測力學性能
- 2020-07-20 TA15鈦合金化學成分及性能
- 2020-07-02 選區激光熔化成形TA15鈦板鈦棒等鈦合金的組織與拉伸性能
- 2020-02-17 航空航天用TA15鈦合金鍛件的相變 組織 拉伸性能
- 2019-12-14 TA15鈦合金鍛件環形鍛件組織與性能的研究

